Reading Navigation
THCV vs. THC: What’s the Difference?
- THCV and THC differ radically in their effects on focus, energy, and appetite.
- Unlike highly psychoactive THC, THCV produces little to no intoxication at low doses. Only when consumed in high amounts, THCV acts on cannabinoid receptors enough to cause a mild psychoactive ‘high’ – far less intense than THC’s effect.
- These two cannabinoids are both derived from the Cannabis Sativa plant, but they have distinct chemical structures, production processes, and triggers in the nervous system.
- Research on THCV is ongoing. So far, scientists have found the substance promising for weight management, type 2 diabetes, Alzheimer’s and Parkinson’s diseases.
The universe of cannabinoids may seem complicated: besides well-known CBD (cannabidiol) and THC (delta-9-tetrahydrocannabinol), there are also at least 250 side compounds, including THCV, CBG, CBN, and some others. While THC is the most popular component producing “high”, it is often compared to the less psychoactive cannabinoid THCV, which entered the research and cannabis market in recent years. Since THCV is studied as an “energy-focused” and “clear-headed” alternative1, this explains the moderately growing public interest.
Although THC and THCV have only minor differences at the molecular level, their effects on the body and mind differ significantly. The most noticeable difference so far is the effect on appetite: THC usually stimulates it, causing “the munchies”, while THCV is considered an appetite suppressor — some people even call it “diet weed”. In this article, let’s take a look at the similarities and distinctions between these two components in terms of their structure, potential effects, scientific evidence, forms of use, and legal status.
What are THC and THCV?
THC and THCV are often confused with one another. This is not surprising: there are still few publications on THCV, and for a broad audience, the difference is only one letter at the end. The clear distinction lies in the psychoactive properties and their structural features.
THC, or tetrahydrocannabinol, has well-documented short-term effects: it impairs memory and reaction time, alters sensory perception, and can increase impulsivity. One clinical study found high-THC doses led subjects to take more risks2 on decision-making tasks. In some users and at higher doses, THC also heightens anxiety or paranoia, whereas low doses may have the opposite, calming effect. THC is the core of “cannabis high”, often associated with an altered state of mind, increased appetite, and side effects like dizziness or red eyes.
THCV (tetrahydrocannabivarin), on the other hand, has reduced psychoactive potential, especially when consumed in low doses. Early research hints that THCV could have anxiety-reducing and mood-stabilising effects3 by modulating serotonin and CB₁ receptors. Many users describe THCV as providing a clear-headed, energising sensation. However, there is not yet solid clinical evidence that THCV reliably relieves anxiety or improves alertness – one human pilot study found only subtle, if any, effects on mood and arousal at typical doses4. In addition, THCV is more difficult to extract, which makes it relatively rare.
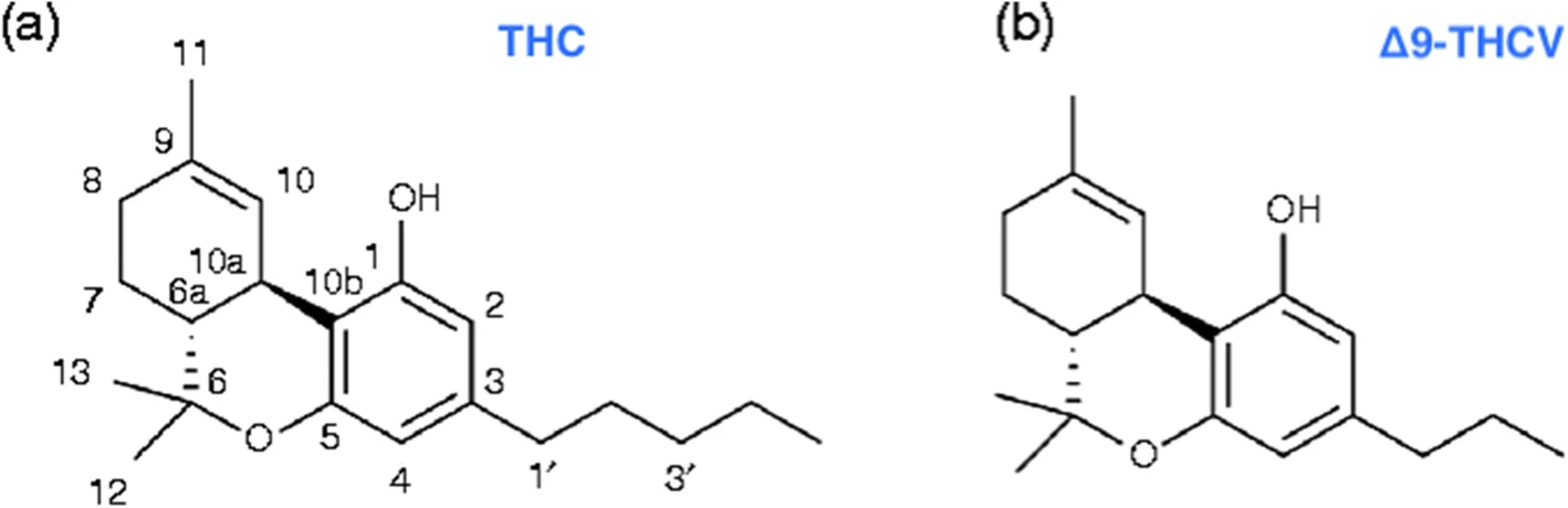
Comparing Structure & Synthesis
THCV vs THC differ at the molecular, production, and effects levels. This means that each component is synthesised diversely and affects receptors in its own way. According to research, both of these cannabinoids are primarily found in Cannabis Sativa plants. Both consist of hydrocarbon groups called lipophilic alkyl chains5.
History
The structure of THC was determined6 in Israel by two researchers, Mechoulam and Gaoni, in 1964. This discovery opened the gate for many of the subsequent developments in the field of endocannabinoid system research. The structure of THCV was discovered a bit later, in 1970, by the UK researcher Edward Gill. He detected it in the tincture of cannabis BPC, a licensed medicine back then.
Structure
From a chemical perspective, THCV is a “shortened” variation of the same THC. They share a similar hydrocarbon structure: THC has a pentyl side chain7 (5 carbons) while THCV has a propyl side chain (3 carbons). Reduced chain length affects how intense and immediate the effects appear.

Synthesis
In terms of production, THCV is synthesised1 only from cannabigerovarin acid (CBGV-A). Through natural reactions, it first changes into THCV-A, and when heated, it turns into THCV. In contrast, THC can be produced naturally in the cannabis plant, through bioengineering yeast, and chemical synthesis.
THC vs THCV Effects On the Body
The active processes of THC and THCV differ at the neurobiological level. Our bodies already have an essential endocannabinoid system, which includes CB1 (CB = cannabinoid) receptors in the brain and spinal cord, and CB2 receptors in immune cells and tissues. Each substance can either stimulate them (to be an agonist) or reduce the sensitivity (to be an antagonist).
THC binds and activates both CB₁ and CB₂ receptors (it’s a partial agonist at these sites). THCV behaves very differently8: at typical doses, it blocks CB₁ receptor activity while partially activating CB₂ receptors. This dual nature means THC broadly stimulates the endocannabinoid system – hence its strong psychoactivity – whereas THCV tends to blunt CB₁-related effects (like intoxication and appetite stimulation) and instead modestly engages CB₂, contributing to its potential anti-inflammatory and metabolic effects.
Thanks to its CB₁-blocking and CB₂-activating actions, THCV has attracted interest as a therapeutic tool. Early studies suggest it might reduce anxiety and pain responses9 and could have anti-inflammatory benefits for conditions like arthritis. Intriguingly, THCV also showed antipsychotic-like effects3 in animal models and other signs of neuroprotection, raising questions about its potential in schizophrenia, multiple sclerosis, or neurodegenerative diseases (Alzheimer’s, Parkinson’s). It’s important to note these findings are preliminary: THCV is not yet an established treatment for these conditions, but ongoing research is exploring its promise.
Influence on Appetite and Energy
Recent human studies suggest10 that THCV may block hunger signals, reduce appetite, and boost metabolism. It doesn’t lead to the munchies (craving for snacks), which is very common after use of different cannabis components. Thanks to all these benefits, it earned the fancy name “diet weed” — or even “weederall”.
Cannabis & Hunger
THC activates CB₁ in the hypothalamus, increasing hunger hormones and cravings. THCV, by blocking CB₁, reduces hunger signals and can even boost energy expenditure. Lab studies in mice demonstrated that THCV-treated animals ate less11, burned more calories, and had better insulin sensitivity. Early human trials echo this: in one 13-week pilot in type 2 diabetics, low-dose THCV significantly lowered fasting blood sugar12 and improved insulin function.
Another 90-day study of 44 adults13 using THCV+CBD oral strips found meaningful weight loss and drops in waist size and “bad” LDL cholesterol compared to placebo. While these results are promising for obesity and metabolic syndrome, THCV is still under investigation – it’s not yet a prescribed weight-loss drug. Notably, THCV in these trials was well tolerated14 and did not cause major psychiatric side effects, making it an intriguing candidate for safer metabolic therapies.
THC vs THCV Effects On the Mind
Comparing THC and THCV in terms of mental effects, dosage is the key.
Users generally describe THCV’s psychoactive profile as ‘clear-headed’ – it tends to avoid the clouded thinking and sedation that often come with THC. At low to moderate doses, THCV produces subtle uplifting effects without impairing concentration; some preliminary evidence even hints at slight improvements in attention14. This makes THCV more compatible with daytime activities – one might consume THCV and still feel functional and alert.
In contrast, THC’s effects can be quite the opposite. Many people find THC (especially in higher doses or indica strains) to be relaxing to the point of drowsiness or demotivation. THC’s strong psychoactivity can slow reaction times15 and, in high amounts, even cause sensory distortions or paranoia. In short, THCV is more about focus and energy, whereas THC leans toward euphoria and relaxation, though individual reactions vary.
THC is also associated with more profound and lasting side effects. Over the long term, heavy or early-age THC use is linked to cognitive deficits and mental health concerns. For instance, frequent cannabis use in adolescence has been associated with a higher risk of developing schizophrenia16 or persistent psychotic symptoms in adulthood, as well as potential for depression and blunted motivation17. These findings underscore why dose, frequency, and individual susceptibility are critical in understanding THC’s impact.
In general, cognitive effects of both THC and THCV may vary depending on present mental health conditions, allergies, substance tolerance or chronic diseases. Before trying any cannabinoids, it’s necessary to consult a professional healthcare provider and check for personal contraindications.

Is THCV Stronger Than THC?
It depends on the desired outcome. If the focus is on psychoactivity, THC has been scientifically proven to create more intense effects and a noticeable relaxing aftermath. At higher doses, THC also strengthens side effects18, such as dizziness, impaired memory, increased heart rate, dry mouth, and red eyes.
If the goal is to get focused during the day, THCV is more relevant — depending on the dose, it produces weaker or opposite effects, boosting energy levels and concentration. This means the person can adjust it to individual needs and plans. Alongside CBD, it has beevaluated for safety19 and efficacy.
Availability and Legality
While THC is the most abundant and prevalent cannabinoid, THCV is comparatively rare due to its complicated synthesis. As a result, it costs more with lower quality and often has an uncertain origin. This becomes a barrier to THCV mass production and market entry.
On the contrary, THC is easier to produce, and the process may happen either naturally or in bioengineering labs. Its concentration in the products can likely be controlled with high accuracy. This makes the compound widely available in various forms, like dried flowers, oils, capsules, topicals, infused drinks and edibles.
Despite its availability, THC is illegal in most countries. Exceptions include Canada, Germany, Luxembourg, Georgia, Malta, Mexico, South Africa, Uruguay, and several U.S. states. In others, it remains synonymous with “weed” or “marijuana” and could be used only in specific medical cases by prescription. In the USA, on a federal level, THC remains illegal — but in December 2025, it was shifted from the Schedule I to the Schedule III category of illicit drugs.
With THCV, the situation is more ambiguous. Technically, it’s classified as “industrial hemp” if its delta-9 THC content stays below 0.3%. This rule applies to most cannabinoids (CBD, CBN, etc.) based on EU, UK and US legal standards. Therefore, in certain forms, THCV can be loosely considered legal. With a concentration above 0.3%, the component becomes as prohibited as classical THC.
Checklist: How to Choose Between THC and THCV
If you’re deciding between these cannabinoids, here are several criteria to consider:
Personal goals
For relaxation, euphoria, or sleep improvement, think of THC. For focus, alertness, and appetite control, discover THCV. However, it’s relatively rare and expensive due to complicated production.
It’s not recommended to mix THC and THCV strains as they can partly counteract. Because THCV blocks CB₁ receptors at typical doses, using THCV alongside THC may result in a milder high – users could feel less intoxicated or anxious than they normally would from THC alone. In short, THCV tends to modulate the THC experience. If your goal is pure potent euphoria, THCV might diminish it; conversely, if you seek a clearer-headed cannabis effect, THCV-rich strains or extracts could be useful.
Product’s Quality
Because THC has been studied much more extensively, it’s easier to assess product quality and understand the dose/effect relationship. With THCV, however, limited research means that factors like origin, quality, concentration, and overall consistency can be far less predictable. Before use, it’s recommended to check the product’s label for contents, quality control, and possible side effects.
Legal Status & Availability
It’s essential, but still: always start by checking whether the substance is legal in your region or state. This directly influences the compound’s availability as well. Since THCV is fairly new, it’s not something you can find at any local store. A limited number of providers sell it as dried flowers, tinctures, or gummies, often paired with THC. In contrast, tetrahydrocannabinol is more common, better studied, and generally sold online and offline.
Health conditions
Both compounds can interact with medication and cause unpredictable individual reactions. Contraindications include pregnancy, breastfeeding, severe cardiovascular and respiratory diseases, liver or kidney diseases, and psychiatric disorders. At the same time, small-scale clinical studies report that THCV may ease symptoms of several health conditions, such as epilepsy20, anxiety and PTSD21, multiple sclerosis, Alzheimer’s and Parkinson’s diseases22.
Here’s a summary table comparing THC and THCV side by side:
| Point of Comparison | THC | THCV |
| Physical Effects | Range from euphoria, relaxation, and heightened senses to impaired coordination, increased heart rate, dry mouth, and red eyes. | Dose-dependent: increased energy at low doses; dizziness and increased heart rate at high doses; potential anti-inflammatory and metabolic effects |
| Effects on Appetite | Stimulates appetite | Suppresses appetite, increases metabolism |
| Mental Effects | Euphoria, altered time perception, impaired memory and focus, anxiety, and paranoia. It can also trigger long-term risks: psychosis, depression, and schizophrenia | Also dose-dependent. In general, it’s a more alert and uplifting experience: enhanced mental clarity, focus, and energy |
| Side Effects | Short-term: dry mouth, dizziness, red eyes, faster heart rate, anxiety, paranoia, impaired memory, and coordination problems Long-term: addiction (Cannabis Use Disorder), lung issues (from smoking), worsened mental health | Generally considered safe and well-tolerated. Mild short-term effects: lightheadedness, slight anxiety, dry mouth, fatigue |
| Legality | Illegal in most countries. Exceptions: Canada, Germany, Luxembourg, Georgia, Malta, Mexico, South Africa, Uruguay, and several U.S. states | It’s complicated and usually not highlighted specifically. Legal status depends on the compound’s source and Delta-9 THC content |
| Quality Standards | Key aspects include testing for contaminants, verifying THC/CBD levels, and ensuring proper extraction | Not stated |
These two substances, though seemingly similar at first glance, have distinct roles and effects. Their chemical structure directly affects the intensity of psychoactive effects. Relatively new and rare THCV is not “the same as THC, just lighter”1: their influence on the body’s cannabinoid receptors, sleep, hunger, and focus are completely opposite. Scientists do not consider them substitutes for each other.
Still, the research on THCV is ongoing and not enough for long-term prognosis. The potential benefits of the component, including weight management and increased focus, may boost new studies and make waves in the health community. After consideration of various individual experiences and reactions, THCV can join THC as the next cannabis-based therapy solution.